background image
1040
Ü
ST
E
KSTREMTE
kan veren implantlarin gelitirilmesi ile bu kiriklarin tedavi
alternatifl erinde gelimeler olmutur. Yeni çikan bir implan-
tin, önceki dier implantlara, kontrolsüz ve kanitsiz üstün ola-
rak sunulmasi, farkli tedavi yöntemleri arasindaki kargaayi
arttirmitir. Bundan sonraki çalimalarda, tedavi seçenekleri
arasindaki farkliliklar sunulurken, kanita dayali bilgilerin kul-
lanilmasi tartimalari azaltacaktir.
Bu konuda yapilan yayinlari gözden geçiren, son dört me-
ta-analiz çalimasinda,
21,112,173,197
birinci ve ikinci seviye kanita
dayali çalimalarin azlii ortaya çikmitir. Tedavi seçenekle-
rinin karilatirilmasi konusunda, prospektif, randomize çok
merkezli, klinik çalimalara ihtiyaç olduu açiktir. Bu özellikte
birkaç çalima halen devam etmektedir. Yüksek kanita daya-
li çalimalarin eksiklii, tedavi protokollerinin gelitirilmesi,
oturtulmasi ve ortak bir görüün olumasini engellemektedir.
Bu nedenlerle bu bölümde, bölge kiriklarinin mevcut de-
erlendirme yöntemleri, tedavi alternatifl eri ve tedavi-takip-
te tartimali olan balica konular hakkinda bilgiler vermek
amaçlanmitir.
EPDEMYOLOJ
Humerus proksimal bölge kiriklari, en sik görülen osteoporo-
tik kiriklardir. Yillik görülme siklii, 63-105 kirik/100.000 kii
olarak belirtilmitir.
57,129,165,187,225,260
Tüm appendiküler iskelet
sistemi kiriklarinin %5'ini oluturur.
55,187
Yalilarda bu kirik-
larin görülme orani giderek artmaktadir.
139,225
Bu durumun
nüfusun demografik kaymasi veya ya-cinsiyet özellilikleri
ile ilikisi açiklanamamitir. Bu ekildeki artiin devam etme-
si durumunda sonraki 30 yil içinde, yalilarda 3 kat artacai
eklinde bir öngörü yapilabilir.
225
Humerus proksimal bölge kiriklari, unimodal olarak 40
ya altinda düük görülme siklii gösterirken, 40 ya üze-
rindeki siklik yala orantili olarak artmakt adir.
55
Her ne ka-
dar, hastalarin büyük bir kismini tipik olarak, daha az yali
kisim olarak ifade edilen 65-75 ya grubu olutursa da, ya-
cinsiyet oranli görülme siklii yalilarda çok daha yüksek-
tir.
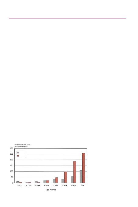
57,129,165,187,225,260
(ekil 35-1). Yaklaik olarak %70-80'ler ora-
ninda, kadin cinsiyetteki belirgin görülme orani; Kuzey Ame-
rika, skandinav Ülkeleri, ngiltere, Fransa, Güney Avrupa,
Japonya ve Avustralya'dan yapilan çalimalarda gösterilmitir.
11,57,109,129,187,226,260,268
Humerus proksimal bölge kiriklari, Japon
halkinda Kuzey Avrupa ve Kuzey Amerika halkina göre daha
azdir. Benzer ekilde, siyah Amerikalilarda, beyaz Amerikali-
lara göre görülme siklii daha düüktür.
10,109,260
Kiriklarin bü-
yük bir kismini, deplase olmami veya iki-üç ve dört parçali
stabil kiriklar oluturur. Bölüm içerisindeki, sinifl andirma
balii altinda, tiplere göre görülme siklii ile ilgili detayli bil-
giler verilecektir.
YARALANMA MEKANZMASI
Adölesan dönem ve erken gençlik dönemlerinde genellikle
yüksek enerjili yaralanmalar (trafik kazalari, spor yaralan-
malari, yüksekten düme veya ateli silah yaralanmalari) bu
kiriklara neden olur. Bununla birlikte bu kiriklar, düük ener-
jiyle ortaya çikan ve osteoporotik kemiklerde yalilarda ortaya
çikan kiriklara göre, daha az görülürler.
13,57,165,181,187
Üçte birin-
den fazlasi düük enerjili ev içi dümelerle
57,165,187,260
meydana
gelir. Kirik riski; düük kemik mineral dansitesiyle sedanter
yaam süren, ailede osteoporotik kemik kirii hikayesi olan,
sik dümeleri ve denge sorunu yaayanlarda daha yüksektir.
174
Orta yali hastalarda, elik eden hastaliklar veya alkol, ilaç,
sigara baimlilii nedeniyle genel durum bozukluu, düük
enerjili kiriklarin ortaya çikmasina neden olabilir.
212,213
Erken
yalarda görülen osteoporoz kirik riskini arttirmaktadir. Ka-
dinlarda erken menapoz en sik neden olarak söylenebilir.
Omuza gelen travma sonrasinda, kirikla birlikte humerus
bai bir çekiç gibi glenoid üzerine vurur ve buraya zarar ve-
rir.
73
Diaridan uygulanan bu güç ve buna kari koymaya çali-
an omuz çevresi kaslarinin oluturduu güç, beraberinde hu-
merus proksimal bölgesi kemik kalitesi, kirik tipinin ve frag-
manlar arasi yer deitirmenin miktarini tayin ederler. Yali
hastalarda, ilerlemi osteoporoz veya elik eden hastaliklar
nedeniyle, kirik fragmanlari arasinda yer deitirme miktari
daha fazla olmaktadir.
222
Humerus proksimal bölge kiriklari,
düme sonrasinda omuz bölgesine direkt etki eden kuvvetler
veya indirekt olarak açik el üzerine düme sonrasinda kuvvet-
lerin iletilmesiyle meydana gelir. Yala birlikte azalmi refl eks-
reaksiyon zamani, kognitif fonksiyonlarda zayifl ama, nöro-
müsküler hastaliklar, denge yetersizlii ve akut intoksikasyon
durumlarinda nöromüsküler koruyucu cevaplarin azalmasi,
omuz üzerine düme riskini arttirir.
174,226,264
Dominant olma-
yan el tarafindaki azalmi kas gücü ve nöromüsküler koor-
EKL 35-1
Kent nüfuslarinda proksimal
humerus kiriklarinin ya ve cinsiyete göre
dailimi (Courtdown CM,Garg A, McQu-
een MM. The epidemiology of proximal
humeral fractures Acta Orthop Scand
2001,72:365-371).
Erkek
Kadin